扫地僧站群提供技术支持

成浩信息网

  • 首页
  • 知识
  • 科普
  • 经验
  • 百科全书
  • 经验分享
  • 科普
  • 新闻

太原各校高中录取分数线如何划定 太原市中考分数线

2026-01-16 16:53 13K 1

一、太原各校高中录取分数线如何划定

1、太原市各校高中录取分数线是根据所有孩子题型的难度考试的分数,每个学生报考学校的志愿来定分数线,每个学校的招生人数来划定。

2、三大校的分数每年最高,因为中考是估分报志愿 ,有些学校报的人数多,学校招生计划是有限的,分数就自然高, 报的人数少,分数肯定低!

二、山西2023年中考分数线预测

国家教育改革,中考难度减低,覆盖知识面多,2021年太原市普高分数线440分2022年465分,2023年基本在470分,如果要重点高中的话在570分有可能,几大名牌高中610分有机会。

三、2021年太原市中考科目分值

1、

2021年太原市中考各科总分是730分,其中语文满分120分,数学满分120,英语满分120分,理科综合150分,其中物理满分80分,化学满分70分,文科综合150分,其中政治满分75分,历史满分75分。体育满分50分,物理化学实验操作满分10分,信息考试满分10分。

2、

3、在太原如果想考上山大附中,省实验中学,太原五中这样的三大名校,一般录取分数在690左右,如何实现这样的目标呢?第一,体育,实验,和计算机必须得的满分,这就是70分。第二,语文不能低于110,作文几乎要满分,或者很少丢分。数学不能低于114,除了最后一道压轴题动点问题和填空题最后一道,其他的几乎都要得满分。外语不得低于114,作业必须是书写优美的衡水体,否则很难得满分。第三,物理不能低于75,化学必须要接近满分,这就要求答题一定要严谨规范。第四,政治和历史不能低于67分,这两课选择题必须要全对。满足以上四点,祝贺你,基本就可以考上三大校了。

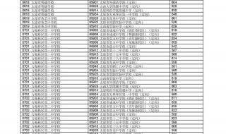
太原市中考分数线

4、

太原市中考分数线

5、

四、2022太原中考分数线算体育分吗

1、算。

2、2022年我省中考取消体育、信息技术和理化试验三门考试后,总分660分。太原市将今年普通高中最低录取控制线定为460分。其中,普通高中招生录取办法和往年相同,普通高中体育、艺术类特长生录取时,考生中考成绩和专业成绩必须达到一定分数线,才可投档。

五、2021年太原市中考录取分数线多少

2021年中考分数线是要等6月22日后中考结束了才能确定的,因为2021年太原的中考工作还没有进行,所以2021年太原中考录取分数线目前还无法确定!

成浩信息网
成浩信息网汇聚了各行各业大量的知识内容供给大家学习参照,相信知识改变命运,欢迎光临百科分享,带给你不一样的体验。有价值的参考答案。
推荐阅读
  • 急!急!女童牛仔裤那里有批发质量好一点的 时尚牛仔裤批发
  • cf超级抽奖池怎么算邀请成功 cf90分钟抽奖
  • 嘉兴职业技术学院具体怎样 嘉兴市职业技术学院
  • 2013年的15t蒙迪欧耗油吗 省油车排行榜2013
  • 2019辛芷蕾发型需要拉直吗 辛芷蕾发型
  • 港式鸳鸯奶茶文案 鸳鸯戏奶茶三姐妹
  • 蜀门仙禽武器如何加点 蜀门好久出10阶武器
  • 足球比赛规定 足球比赛加赛规则
  • 越剧碧玉簪送凤冠全段唱词 越剧碧玉簪送凤冠
  • 新乡教育局最新通知2023开学时间 河南省新乡市教育局
评论 (1)
取消
  • 成浩信息网

    本文《太原各校高中录取分数线如何划定 太原市中考分数线》希望能帮助到你!

    2026年01月
热门文章
求NBA1998全明星赛东西部球员的名单 1998年Nba总冠军是谁
127
19赛季勇士进季后赛了吗 湖人vs勇士季后赛主客场怎么排
129
2021奥运会手抄报简单又漂亮,手抄报的花边怎样画好看 奥运会手抄报简单
169
dnf黑白剑怎么获得 dnf黑白网络
173
三亚鸟巢朋友圈文案 三亚鸟巢度假村
180
神舟13哪几位航天员 神十三航天员出舱画面
138
中国有钱人排行是什么 中国胡润排行榜
138
崇明东滩湿地公园和东平森林公园哪个好玩 上海东平国家森林公园
142
男生锡纸烫怎样烫 锡纸烫发型图片男生
175
塞拉利昂驻华大使馆在广州哪里 塞拉利昂驻华使馆
114
文章推荐
荐 青奥会南京吉祥物是什么 2018青奥会吉祥物
荐 DNF怎么赚钱,一星期最少要有两千万进帐 dnf怎么赚钱最快
荐 易中天品三国陆逊败曹休是哪一集 易中天品三国52
荐 第一家航海博物馆位于哪儿 上海中国航海博物馆
荐 杨旎奥的详细资料 杨紫原名杨旎奥
荐 discovery路虎落地价 小路虎报价
荐 欧洲杯小组第三出线规则 世预赛欧洲区的出线规则
荐 什么是数控转台 数控回转工作台
荐 欧冠排名同分规则 欧冠联赛积分榜
荐 郑州新明一中怎么样 郑州一中分校分数线
荐 动态机器人壁纸怎么获得 安卓机器人手机壁纸
荐 赵露思是宝格丽全线代言人吗 宝格丽的代言人都有谁
荐 春运火车退票手续费最新通知 春运退票手续费新规定
荐 雪天盐是正规盐吗 雪天盐是正规盐吗
Copyright © 2018-2026 成浩信息网. All rights reserved. Designed by 扫地僧站群技术支持. ICP备案号
  • 北京市分站
  • 阳江市分站
  • 友情链接
  • 扫地僧站群
  • SEO学习网
    • 首页
    • 知识
    • 科普
    • 经验
    • 百科全书
    • 经验分享
    • 科普
    • 新闻